Search history
Clear allSearch by image
XDrag and drop an image here or upload an image
Max 5MB per image
UploadSign In | Join
X Email Mobile
Magnificent magnet 8yr.
Contacts hongxuefan Chat
Mobile 86-13456867416
E-mail 1047618594@qq.com
13506594784
Specialized in making magnets Choose the vast magnetic industry
Contact person: Mr. Wang 13506594784/Miss hong 13456867416
Goods will







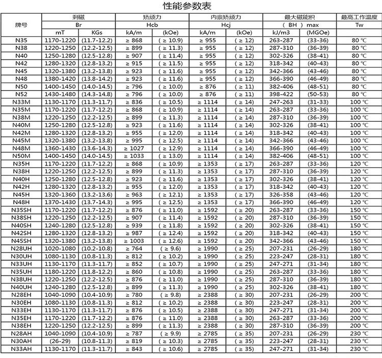
Parameter performance table

[precautions in the use of ndfeb permanent magnet]
A, temperature
Customers choose ndfeb magnets should be based on its operating temperature requirements to choose the appropriate magnet brand, if the operating temperature
If the temperature is higher than the mark of magnet, the magnet will slowly demagnetize until there is no magnetism.
B, environmental
The surface of ndfeb magnet is easy to rust, so usually need to do surface protection treatment, the surface is recommended for galvanized or
Nickel plating.
C, store
Magnets should be stored in a dry, constant temperature environment, separated and wrapped with plastic, wood chips, cardboard or foam. far
Iron or day from the magnetized items, such as displays, bank CARDS, computers and mobile phones. The ring should also be maintained during storage
The environment is dry, do not place the ground directly, it is best to pad on the cardboard or placed on the shelves.
D, access
Neodymium iron boron material has hard, brittle, strong magnetic field and other characteristics, so to take light put (especially when large specifications and thin
Piece). When the magnets are attracted together, do not force open, it is recommended to push the stagger (left hand fixed the whole magnetic
Iron, right hand with index finger and thumb, horizontal move out of the magnet). If you need to put the magnet back into the whole magnet,
Slowly return, pushing close to the edge, holding the magnet in your hand until the magnet is fully in
Go to.
[buying instructions]
A. Because each customer has different specifications, sizes and materials of magnets, the picture above shows our regular products
Type, the specific style can be customized according to your requirements, please be sure to first wangwang or telephone customer service,
Subject to real-time quotation.
B. the company USES unispeed express by default. If you have special requirements, please contact me
C. product packaging: neutral packaging (plastic bag + carton + foam + carton) is adopted at home, and magnetic insulation packaging is adopted abroad
(plastic bag + carton + foam + six pieces of iron + carton).
D. About the cost of samples: our company has stock samples and can provide 10 samples free of charge (the freight shall be borne by ourselves).
The price of customized samples will be determined according to the performance, size and quantity. Please communicate with the staff of our company for confirmation.
E. About the proofing process: the customer shall provide the original sample or picture (with detailed size), model, performance and quantity, etc
Request, you can arrange proofing. General general 3 days to hand over samples, special samples, please contact me.
F. Delivery time: the normal delivery time of our company is 7 ~ 8 working days. For special products, please contact our staff
After the confirmation of specific delivery date.
Update time:
TOP